Ansys Zemax | 在OpticStudio中模拟高阶激光光束
概要
本文描述了OpticStudio中可用于描述高阶激光束的模型。一旦定义,这样的光束可以在OpticStudio中使用物理光学传播设计的任何光学系统中传播。由矩形、圆形和椭圆形增益孔径的激光腔产生的光束可以用可用的Hermite-Gaussian, Laguerre-Gaussian和Ince-Gaussian光束模型来描述
简介
一般来说,激光的输出可以通过求解傍轴波动方程得到。这个方程最常见的解是理想单模高斯光束。其它正交解集的存在依赖于给定系统的对称性。1 它们可以用来模拟高阶光束模式。
OpticStudio提供了建模三个其他解决方案的选项。所选择的解将描述光束的初始电场分布,然后使用物理光学传播(POP)对光束的后续传播进行建模。
Hermite-Gaussian模型
对于矩形对称的激光谐振腔,即矩形增益孔径的激光谐振器,用Hermite-Gaussian模型给出了傍轴波动方程的合适解。这些模式的电场分布可以用Hermite多项式表示。这种模式可以在OpticStudio中使用POP设置对话框中内置的“高斯束腰”光束定义建模:
这种模式的基本输入是束腰在X和Y上的宽度和在X和Y上的阶数。以上设置演示如何模拟在X和Y方向上具有相同束腰宽度的(0,0)模式,对应于一个单模高斯光束。然而,输入光束也可以是在X和Y上不对称的高阶Hermite-Gaussian光束,例如:
Hermite-Gaussian模型通常被称为TEMm,n模,其中m是光束在X中的阶数,n是光束在Y中的阶数。同样,高斯光束是TEM00模光束。
关于“高斯束腰”光束定义的输入参数的进一步描述可以在帮助系统中“关于物理光学传播”一节中找到。
Laguerre-Gaussian模型
对于圆柱对称的激光谐振腔设计,即具有圆形增益孔径的激光谐振腔,用Laguerre-Gaussian模型给出了傍轴波动方程的合适解。这些模态的电场分布可以用Laguerre多项式表示。这些模式可以在OpticStudio中使用安装OpticStudio时提供的“Laguerre beam”DLL建模:
该模型的输入是波束在径向(n)和方位角(l)方向的阶数、波束腰(wo)和模态旋转角(phi0)。注意,指定phi0 = 0相当于对奇Laguerre-Gaussian模(LGM)建模,而指定phi0 = 90则相当于对偶LGM建模.2
“Laguerre beam”DLL的源代码可以在OpticStudio安装文件夹中找到,默认情况下是{Zemax}\DLL\PhysicalOptics。这个文件夹的位置在File tab...Project Preferences...Folders:
Ince-Gaussian模式
对于具有椭圆对称增益孔径的激光谐振腔设计,给出了Ince-Gaussian模式下傍轴波方程的合适解。这些模态的电场分布可以用Ince多项式表示。这些多项式在Miguel A. Bandres和Julio C. Gutiérrez-Vega (JOSA, Vol. 21, No. 5, 2004年5月,p. 873)的论文“傍轴波动方程和稳定谐振器的inces - gaussian模式”中进行了简要描述。F.M. Arscott (Pergamon Publishing, Oxford, UK, 1964)的《周期微分方程》一书对这些多项式作了更完整的描述.3
Ince-Gaussian模式可以在OpticStudio中使用“Ince-Gaussian”DLL建模:
这个DLL包含在OpticStudio安装中,可以在{Zemax}\DLL\PhysicalOptics文件夹中找到,如前一节所述。此DLL的源代码将不会提供。
该模型的输入是p阶和m阶、光束腰(w0)、光束半焦分离(f0)和光束极性(0=even;1=odd);这个最后的输入决定了波束是由偶数还是奇数Ince多项式描述的。Bandres和Gutiérrez-Vega在论文中提供了上述每个输入的完整描述一些未使用的输入被简单地列出,以便这个模型的输入表的结构与OpticStudio中的内置高斯束腰模型相匹配。
正如Bandres和Gutiérrez-Vega在文章中所描述的,构建Ince-Gaussian模式光束的一个重要部分是求解给定输入集的特征值问题。这个特征值问题在Ince-Gaussian DLL中使用CLAPACK库中提供的子例程解决。这个库是开源的,可以从http://www.netlib.org/clapack/下载.4
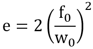
由束腰和半焦距可计算出无量纲椭圆度参数:
如Bandres和Gutiérrez-Vega所述,w0和f0调节光束的物理尺寸,而e调节横向光束结构的椭圆度。
Ince-Gaussian模型代表了傍轴波动方程的一个更一般的解,其中Hermite-Gaussian模型和Laguerre-Gaussian模型都是极限情况。具体来说,设置e=∞可以从Ince-Gaussian解得到Hermite-Gaussian模型,设置e=0可以从Ince-Gaussian解得到Laguerre-Gaussian模型。Bandres和Gutiérrez-Vega论文的图3中很好地演示了这种转换:2
作者直接提供的另一个图也显示了这种转变(对于p = 4):2
当e接近0时,Ince-Gaussian DLL准确地再现了Laguerre-Gaussian模型的结果。然而,在这种限制下,使用Laguerre-Gaussian DLL在OpticStudio中建模这些模式在计算上更有效。
当e趋近于∞时,当Ince-Gaussian DLL计算的特征值解发散。这种发散行为是计算算法的一个局限性。当发散点达到时,Ince-Gaussian DLL产生的结果就不准确了。不幸的是,这一点并不只发生在e的唯一值(也依赖于p, m和光束极性)。然而,当产生发散解时,很容易确定,因为解将与相应的Hermite-Gaussian结果不一致(对于较大的e,它们应该一致)。在这种条件下,应该使用高斯束腰选项来模拟光束模式。
