Ansys Zemax | 如何建模离轴抛物面镜
附件下载
联系工作人员获取附件
概述
离轴抛物面反射镜是光学工业中一种重要的设计类型。本文演示了如何根据制造商给出的规格设计一个离轴抛物面反射镜,并演示如何使用主光线求解将像面中心与主光线路径对齐。
简介
离轴抛物面反射镜的优点是光束通过反射到达像面途中将不会受到遮挡。使用 OpticStudio 可以很简单地建模一个表面的任何离轴部分,不管其是否为抛物面。本教程将向您展示如何建模一个离轴抛物面反射镜。这里所示的概念适用于任何偏心表面,并不局限于离轴抛物面反射镜。
离轴抛物面镜设计参数
我们将制作一个商用的离轴抛物面反射镜。这个设计练习的目标是能够使反射镜在光轴(Z轴)上的任意一点绕X轴倾斜。反射镜的规格如下:
反射镜背面的基底垂直于光轴。
如果您不熟悉任何在本教程中使用的步骤,请先参考 《Ansys Zemax | 如何倾斜和偏心序列光学元件》 文章后,再尝试本文内的详细步骤。
输入基础几何结构
设计开始时,我们将首先定义系统设置。在系统资源管理器中进行以下调整:
- 设置 系统孔径 (Aperture)...孔径类型 (Aperture Type) :入瞳直径 (Entrance Pupil Diameter) 和 孔径值 (Aperture Value) :100
- 设置 单位 (Units) ...镜头单位 (Lens Units):毫米 (Millimeters)
- 设置 波长 (Wavelengths) ...波长1 (Wavelength 1) : 0.550 um
接下来我们可以开始定义系统的几何结构。在镜头数据编辑器中的光阑面后添加一个表面,然后在表面1-3上输入以下参数。请注意,像面上有一个用户定义的30 mm 的半直径,如求解栏中所显示。
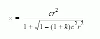
标准面的矢高值或Z坐标定义为:
其中 c 是曲率(曲率半径的倒数),r 是镜头单位下的径向坐标,k 是圆锥系数。定义中,双曲线的圆锥系数小于 -1,抛物线的圆锥系数等于 -1,椭圆的圆锥系数在 -1 和 0 之间,球面的圆锥系数为 0,扁椭球的圆锥系数大于0。要使镜面呈抛物线形式,输入圆锥系数为 -1。
因为镜面的焦距是曲率半径的一半,所以输入曲率半径为 -2000 mm 。曲率半径的符号是负的,因为曲率中心在镜子的左边(沿- Z轴方向)。另外,因为表面1和像面在同一位置,所以我们将选择不在视图中绘制表面1,以便我们只能看到该位置的像面。在表面属性中设置以下属性:
要使反射基底平坦且与光轴正交,请在表面属性对话框中选择以下选项。因为制造商没有在他们的网站上指定基底的厚度,我们将设置 厚度 (Thickness) :40mm。
使用以下设置打开3D布局图。
增加离轴距离
在表面2的表面属性的倾斜/偏心选项中,设置 Y 偏心:- 150mm。
根据制造商的规格,离轴距离是150 mm,镜子的物理直径是203 mm。在表面属性 (Surface Properties) 菜单的孔径 (Aperture) 选项中指定正确的孔径大小和位置。
打开3D布局图。
注意光线的趋势是远离坐标系的。为了使像面居中并使其与主光线正交,需在像面前插入一个坐标间断面,并将主光线求解放置在 Y 偏心和 X 倾斜的参数上。OpticStudio 会自动计算使主光线在正入射情况下击中该表面中心所需的偏心和倾斜数值。
刷新3D布局图。
结果完美!
