Ansys Zemax | 如何使用琼斯矩阵表面
附件下载
联系工作人员获取附件
概览
琼斯矩阵 (Jones Matrix) 表面是一种非常简便的定义偏振元件的方法。这篇文章通过几个示例介绍了如何使用琼斯矩阵。
介绍
光线追迹程序一般只考虑光线的几何属性(位置、方向和相位)。光线传播到一个表面时的全部信息可由坐标、方向余弦(光线与局部坐标轴的夹角)和相位(光线的光程及光程差)表示。
在两种介质的分界处(例如玻璃和空气),光线的折射遵循斯涅耳定律 (Snell`s Law) 。通常情况下,那些在交界处发生的不影响光线方向的效应会被忽略。这些效应包括与入射角相关的电场振幅和相位的变化、两种介质的材料属性以及交界处的光学镀膜带来的影响。
偏振分析是基于传统光线追迹的扩展功能,它会考虑光线传播穿过系统时产生的反射和吸收损耗,(包括光学镀膜的影响)。
OpticStudio有完善的分析能力可以分析几乎任意光学膜层及双折射介质。但是当缺少实际数据支撑时,我们也可以使用一些简单的模型。例如,OpticStudio支持在没有实际数据的情况下,使用理想 (IDEAL) 或表格 (TABLE) 类型的镀膜进行建模。与之类似的是,我们也可以使用琼斯矩阵,理想的描述偏振器件,例如起偏器等。该方法不需要对偏振器件进行详细的实际建模,并且这是一个简单易用的“黑盒”系统,可以有效的模拟一些偏振现象。
琼斯矩阵
电场的振幅和偏振态可由向量E表示,它包含三个分量 {Ex, Ey, Ez} 且各分量均为复数。光线传播的方向向量由k表示,它也包含三个分量 {l, m, n},其中l, m, n为光线在x, y, z方向上的方向余弦。电场向量E必须垂直于方向向量k,因此:
因此可以推断出:
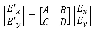
任意两种介质的分界面都会对光的偏振产生影响,OpticStudio可以对这些影响进行详细的模拟,也可以建立理想化的偏振模型来模拟通用的偏振器件。在序列模式下,该模型表示为“琼斯矩阵”表面;在非序列模式下该模型表示为“琼斯矩阵”物体。“琼斯矩阵”根据下式描述琼斯向量(表示电场):
其中A, B, C, D均为复数。您可以在透镜数据编辑器或非序列元件编辑器中分别输入这些复参数的实部和虚部。
需要特别注意的是,琼斯矩阵没有定义Ez分量。这意味着使用琼斯矩阵表面或物体的前提假设是入射光线需垂直于琼斯矩阵表面,例如将琼斯矩阵表面放置在平行光束中。该假设也与大部分实际应用环境相符:多数起偏器或波片都是在平行光或发散角较小的光束中使用的。
如果一束平行光垂直入射至琼斯矩阵表面,则由于k·E = 0 并且向量k可表示为{0, 0, 1} 因此Ez必须为零,这样我们就可以只用Ex和Ey分量来描述偏振。如果入射光的方向向量为其他任意值 {l, m, n},则OpticStudio将自动调整Ez或{Ex, Ey}以使k·E = 0且E的大小不会增加。这个调整有可能导致E的大小降低,进而导致透过能量的降低。
下表为一些典型偏振器件的琼斯矩阵参数,该表格取自用户手册“The Setup Tab”一章:
使用实例
需要注意的是:琼斯矩阵表面不使用曲率半径这一参数,该表面类型总是一个平面。这是因为该类型表面通常都是在垂直入射的平行光中使用。矩阵的每个参数可以在透镜数据编辑器中的参数栏中输入。在示例系统中,琼斯矩阵设置为X轴方向的四分之一波片:
最简单直接的观察琼斯矩阵表面所产生的影响的方法是使用偏振光瞳图 (Polarization Pupil Map) 功能。该功能位于分析 (Analysis) 选项卡 > 偏振 (Polarization) 菜单中。打开该工具,设置输入光的偏振态为左旋圆偏振光:
经过四分之一波片后可以看到左旋偏振光变为线偏光,且透过率为100%:
如果我们改变琼斯矩阵的参数使其改变为X方向的半波片(A real=-1,D real=+1,其余均为0),则可以看到输出光的偏振态变为右旋偏振光(注意偏振椭圆的箭头标注):
如果我们设置琼斯矩阵为X方向的检偏器(A real=1,其余为0),则只有X方向的偏振光透过,且透过率自然而然地降为50%:
需要注意的是:所有在分析 (Analysis) 选项卡 > 偏振 (Polarization) 标签下的分析功能均支持在当前工具中直接定义输入光的偏振态。如果您想要在其它分析功能中考虑偏振的影响,例如惠更斯PSF,您需要该分析的设置中勾选“使用偏振 (Use Polarization)”。在这类分析中您无法直接定义输入光的偏振态,您需要在系统全局设置中进行定义。该设置位于系统选项 (System Explorer) > 偏振 (Polarization) 一栏内。
小结
OpticStudio可以详细模拟由双折射或偏振薄膜所引入的偏振影响。然而有时候,我们也需要一个快捷的方法直接输入偏振数据。琼斯矩阵表面(序列模式下)和琼斯矩阵物体(非序列模式下)可以帮助我们简单快速的定义偏振元件。
由于琼斯矩阵在定义偏振元件时只使用Ex和Ey分量,该物体需在垂直入射的平行光中使用。OpticStudio也可以计算非垂直入射或非准直的光线,但OpticStudio将自动调整Ez或Ex和Ey以保持向量E垂直于向量k,并且在使用该计算结果时您需格外注意。
