Ansys Zemax|计算任意温度和压强下的折射率
概述
这篇文章介绍了OpticStudio如何计算材料在任意输入波长、环境温度和压强下的折射率。
介绍
通常情况下有两种参考折射率的测量方法:绝对测量和相对测量。其中绝对测量以真空为参考介质;相对测量则是以空气(摄氏温度20°,一个标准大气压)为参考介质。除了折射率以外,光的波长也是在特定介质中测量的,光在不同介质中的波长存在微小差别,例如氦氖激光器产生的红光在真空中的波长为0.632991μm,而在空气中的波长为0.632816μm。
在OpticStudio中,您可以对每个光学系统定义“系统”温度和压强,该设置位于系统设置 (System Explorer) 中的环境 (Environment) 的下拉菜单中:
在设置时您需要注意以下两点:
- 系统波长总是在系统设置定义的温度和压强下进行定义的。因此如果将压强定义为0,则波长为真空下的波长;如果将压强定义为1,则波长为空气中的波长。
- 当数据编辑器中材料 (Materials) 一栏为空时,系统将默认该表面为“空气”,并且“空气”介质在所有波长下的折射率均为1。
我们将“空气”用引号标注是因为它实际上是系统设置定义的温度和压强下的“空气”。如果在系统设置中设置压强为0,则“空气”表示真空介质。在系统设计中的表面温度和压强可以与系统设置中的不同,并且该设置没有限制。
在OpticStudio中的大多数透镜设计所使用的材料已包含在材料库中(例如N-BK7包含在SCHOTT.AGF材料库文件中)。材料在任意波长下的折射率可由相应的色散公式和色散系数计算得到。然而通过色散公式计算的折射率只是参考温度 (T0) 和参考压强 (P0=1个标准大气压) 时的情况。那OpticStudio是如何计算材料在不同温度和压强下的折射率呢?
折射率计算公式
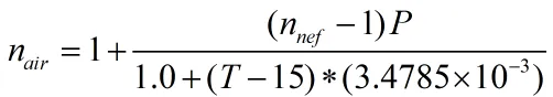
任意温度或压强下的折射率与参考温度和压强下的绝对(参考与真空介质)空气折射率相关。需要再次强调的是,OpticStudio中空气下的折射率在系统温度 (TS) 和系统压强 (PS) 下永远为1。下式给出了如何计算系统温度和压强 (TS, PS) 下或参考温度和压强 (T0, P0) 下空气的绝对折射率:
其中
公式中λ表示输入光的波长(系统温度和压强下),P为压强(以标准大气压为单位),T为温度(摄氏度)。有关该公式的更多信息请查阅帮助系统“Index of Refraction Computation”标签。
如果要计算任意温度和压强的折射率,则我们将首先计算nair(P0, T0)以及nair(PS, TS)。这些参数都是在输入波长下进行计算的。首先,我们通过对参考温度和压强进行缩放得到“相对”波长:
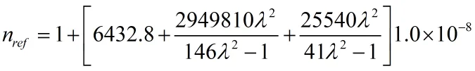
在参考温度和压强下的相对折射率由对应波长下的色散公式计算得到:
其中f为色散公式的函数形式,c0表示材料的色散系数。相对折射率与绝对折射率的转换关系为:
由于相对折射率是在参考温度和压强下进行计算的,因此计算绝对折射率需要在同样的温度和压强下。绝对折射率由下式计算得出:
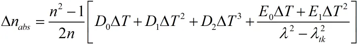
其中Δnabs由下式计算得到:
在上式中,n为材料在参考温度和压强下的折射率,ΔT为材料温度与参考温度的差值,λ为波长(上文中计算的λrel),D0和D1等为材料的热扰动系数。最终,在给定的温度和压强下,材料的相对折射率由下式计算得到:
在光线追迹计算中,OpticStudio就是使用上式的计算结果作为材料的折射率进行计算的。
计算示例
根据上一节中给出的计算公式,当系统温度和压强与参考温度和压强相等时,材料的系统折射率和参考折射率相同即nabs(PS, TS)=nrel(PS, TS)且此时的Δnabs=0,因此可以得到:
现在让我们了解一下稍微复杂的情况。假设我们设置N-BK7材料所处的系统温度为30°,压强为2个标准大气压,并设置此时系统输入波长为0.55μm。其中,N-BK7材料的参考温度为20摄氏度,您可以在Schott的材料库中查询该数据:
对于T0=20°,P0=1个标准大气压的情况,空气的折射率为nair(P0, T0)=1.00027308。对于其他给定的系统温度(30°)和压强(2个标准大气压),空气的折射率为nair(PS, TS)=1.00052810(这是空气的绝对折射率)。根据这两个结果,我们可以计算得到相对波长(温度为20°,压强为1个标准大气压下的波长)为0.55014022μm。
在该波长下,N-BK7材料在参考温度和压强下的相对折射率为1.51851533(根据Sellmeier色散公式及材料库数据中的色散系数计算得到)。N-BK7材料在T0和P0下的绝对折射率由该折射率与nair(P0, T0)相乘得到,其结果为1.51893001。
绝对折射率的变化是由于OpticStudio计算热扰动模型(如上节所述)时材料温度和参考温度不同所引起的,其中该模型使用了材料数据库中提供的热扰动系数(D0, D1…)。在本例中,绝对折射率的变化为Δnabs=0.00001547。因此在材料温度和压强下的绝对折射率为1.51893001+0.00001547=1.51894548。将该结果除以nair(PS, TS)得到给定温度T和压强P下的相对折射率,其结果为1.51814375。
这一最终结果与OpticStudio中使用的折射率数值完全一致,您可以查看详细数据 (Prescription Report) 的报告进行验证:
